Legend options
julia
using AlgebraOfGraphics, CairoMakieTo tweak the position and appearance of the legend, simply use the legend keyword when plotting. For example
julia
labels = ["a looooooong label", "an even loooooonger label", "and one more long label"]
df = (x=rand(100), y=rand(100), group=rand(labels, 100))
layers = linear() + mapping(color=:group)
plt = data(df) * layers * mapping(:x, :y)
draw(plt)
julia
fg = draw(plt, legend=(position=:top, titleposition=:left, framevisible=true, padding=5))
To adjust the title and order of labels in a legend you can use the pair syntax.
julia
layers = linear() + mapping(color=:group => sorter(labels) => "Labels")
plt = data(df) * layers * mapping(:x, :y)
draw(plt)
Adding a plot to a pre-existing figure with draw! will not draw the legend automatically. In this case, one must use legend! and specify the axis to which it should be added.
The tellheight = false, tellwidth = false arguments are useful to avoid changing the dimensions of the axis.
julia
makie_fig = Figure()
ax_scatter = Axis(makie_fig[1, 1])
grid = draw!(ax_scatter, plt)
legend!(makie_fig[1, 1], grid; tellheight=false, tellwidth=false, halign=:right, valign=:top)
makie_fig
If the automatic legend elements are not legible enough, you can change their properties by passing overrides to the legend attribute of a visual.
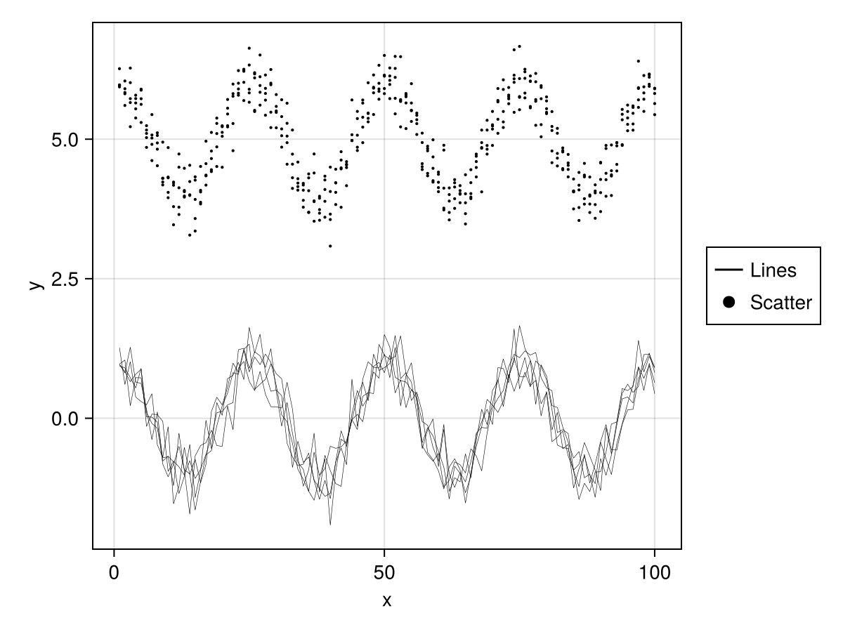
julia
df = (;
x = repeat(1:100, 5),
y = reduce(vcat, [[cos(x) for x in range(0, 8pi, length = 100)] .+ 0.3 .* randn.() for _ in 1:5]),
group = repeat(1:5, inner = 100),
)
lin = data(df) *
mapping(:x, :y, group = :group => nonnumeric) *
visual(Lines, linewidth = 0.3, label = "Lines", legend = (; linewidth = 1.5))
sca = data(df) *
mapping(:x, :y => y -> y + 5, group = :group => nonnumeric) *
visual(Scatter, markersize = 3, label = "Scatter", legend = (; markersize = 12))
draw(lin + sca)